Performance & Financial Information
- 1Q
- 2Q
- 3Q
- FY
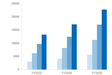
Net sales(unit: 1 million yen)

FY2023
FY2024
FY2025
4Q
13,210
17,113
22,675
3Q
9,690
12,409
16,975
2Q
6,153
8,122
11,199
1Q
2,977
4,077
5,614
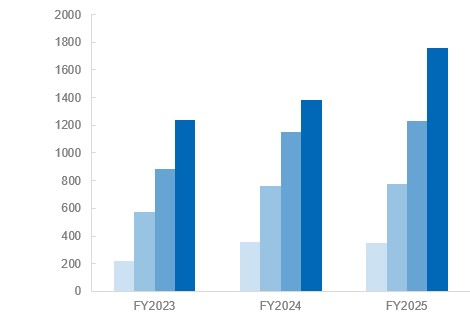
Gross profit(unit: 1 million yen)

FY2023
FY2024
FY2025
4Q
6,142
7,846
9,566
3Q
4,531
5,693
7,177
2Q
2,911
3,684
4,733
1Q
1,396
1,839
2,386
Operating profit(unit: 1 million yen)

FY2023
FY2024
FY2025
4Q
1,153
1,340
1,759
3Q
820
1,070
1,260
2Q
533
695
793
1Q
225
346
346
Ordinary profit(unit: 1 million yen)

FY2023
FY2024
FY2025
4Q
1,238
1,386
1,759
3Q
886
1,150
1,232
2Q
575
761
777
1Q
219
356
350
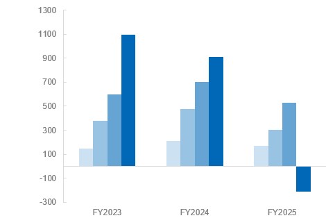
Profit attributable to owners of parent(unit: 1 million yen)

FY2023
FY2024
FY2025
4Q
1,096
910
(213)
3Q
597
705
529
2Q
379
477
303
1Q
149
213
171
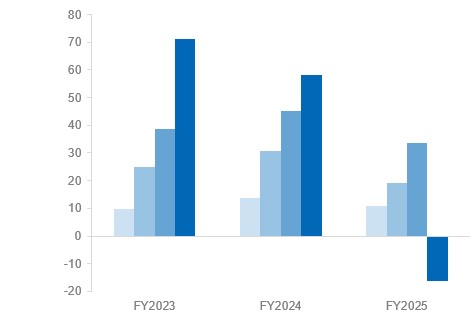
Earnings per share(unit: yen)

FY2023
FY2024
FY2025
4Q
71.2
58.3
(16.3)
3Q
38.8
45.0
33.5
2Q
24.8
30.8
19.2
1Q
9.79
13.8
10.9
- The second quarter(2Q)shows cumulative information from the first quarter to the second quarter.
- The third quarter(3Q)shows cumulative information from the first quarter to the third quarter.
【Precautions for the Usage】
- When the quarterly financial statement amendments are announced, the information on this data will not immediately be updated.
- When stock splits occur, related indexes are not retroactively amended.
- With changes in quarterly financial statement formats, the update frequency may be changed.
The information on this data is created based on quarterly financial statements.
Substantial care has been put into the data conversion for posting on the data. However, information may contain errors from intentional alternation by a third party, mechanical defects due to machine malfunctions, or other force majeure, so please exercise caution.
For details on financial statements, please check the quarterly financial statement materials.
