Performance & Financial Information
- 1Q
- 2Q
- 3Q
- FY
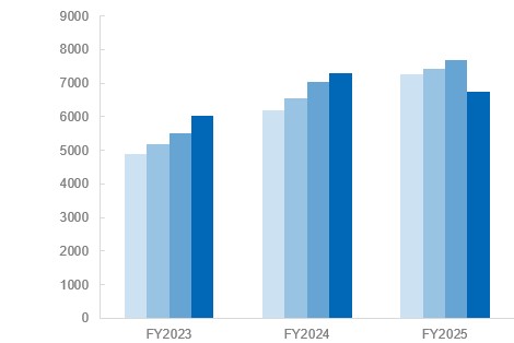
Total assets(unit: 1 million yen)

FY2023
FY2024
FY2025
4Q
9,995
13,537
15,690
3Q
9,679
11,694
17,555
2Q
8,441
11,162
17,535
1Q
7,971
10,617
17,447
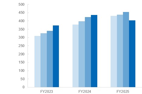
Net assets(unit: 1 million yen)

FY2023
FY2024
FY2025
4Q
6,039
7,304
6,746
3Q
5,496
7,051
7,698
2Q
5,191
6,534
7,429
1Q
4,884
6,189
7,268
Capital adequacy ratio(unit: %)

FY2023
FY2024
FY2025
4Q
57.9
50.8
40.7
3Q
54.4
57.1
40.8
2Q
59.5
55.3
39.5
1Q
59.6
55.2
38.9
Net asset per share(unit: 1 million yen)

FY2023
FY2024
FY2025
4Q
373.0
436.7
404.0
3Q
339.9
423.9
453.2
2Q
325.2
397.5
438.2
1Q
310.4
377.8
430.1
- The second quarter(2Q)shows cumulative information from the first quarter to the second quarter.
- The third quarter(3Q)shows cumulative information from the first quarter to the third quarter.
【Precautions for the Usage】
- When the quarterly financial statement amendments are announced, the information on this data will not immediately be updated.
- When stock splits occur, related indexes are not retroactively amended.
- With changes in quarterly financial statement formats, the update frequency may be changed.
The information on this data is created based on quarterly financial statements.
Substantial care has been put into the data conversion for posting on the data. However, information may contain errors from intentional alternation by a third party, mechanical defects due to machine malfunctions, or other force majeure, so please exercise caution.
For details on financial statements, please check the quarterly financial statement materials.
